Deep Impact Findings - 1

''It is trial that proves one thing weak and another strong. A house built on the sand is in fair weather just as good as if built on a rock. A cobweb is as good as the mightiest cable when there is no strain upon it.'' Henry Ward Beecher

Swift's Take on Deep Impact http://www.universetoday.com/am/publish/swift_take_deep_impact.html?672005

Summary - (Jul 6, 2005) Scientists monitoring NASA's Swift satellite had a good view of Deep Impact's collision with Comet Tempel 1. Although the space-based observatory was designed to watch for gamma ray bursts, its instruments were handy for this observation since it can see in several wavelengths at the same time. One of its most important observations from the impact is a quick rise in ultraviolet light. This means that the impactor struck a hard surface, as opposed to something soft and snowy.

Gemini Sees Rocky Material on Tempel 1 http://www.universetoday.com/am/publish/deep_impact_gemini.html

“The properties of the mid-infrared light were completely transformed after impact,” said David Harker of the University of San Diego, co-investigator for the research team. “In addition to brightening by a factor of about 4, the characteristics of the mid-infrared light was like a chameleon and within five minutes of the collision it looked like an entirely new object.” Harker’s research partner Chick Woodward of the University of Minnesota speculated further, “We are possibly seeing crystalline silicates which might even be similar to the beach sand here in Hawaii! This data will keep us busy trying to figure out the size and composition of these grains to better understand the similarities and differences between the material contained within comets and other bodies in the solar system ....”

[Above two links courtesy of Richard Hoagland.]

The Deep Impact team also mentioned “layers”, with the higher material rough and the lower portions of the surface smooth. This suggests a geologically evolved object rather than a primitive one.

It is not news, but should not be forgotten that all comets are blacker than coal dust (average albedo 4%). They only look white by contrast with the blacker sky background, for much the same reason that bright, hot sunspots look black against the much brighter solar-surface background. (Lunar soil also looks bright to our eyes, especially near Full Moon. But the lunar soil brought back by astronauts is extremely black.) JPL seemed to have exaggerated the contrast in the early releases of Comet Tempel 1 images, making the comet appear relatively bright white, possibly in the mistaken belief that the comet is snowy.

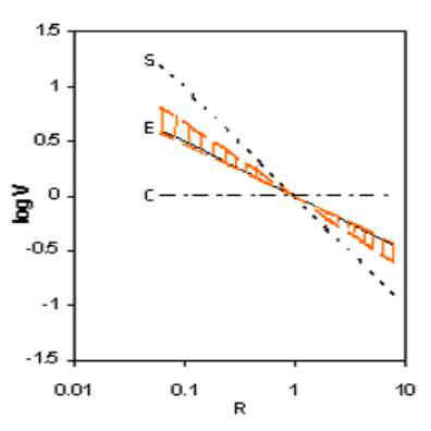
We should also not forget that “split comets” (which are actually escaping satellites in the EPH’s Satellite Model) have almost exactly escape speed from the nucleus at all solar distances, rather than speeds that would be driven by internal or solar energy sources, as the standard model expects. In the graph, the log of comet split velocities (V) is plotted vs. solar distance (R) on a log scale. C = comet internal energy prediction; S = solar energy prediction; E = EPH satellite model prediction; shaded area is one sigma observational upper and lower bounds to actual data.

Courtesy of Mitch Battros, we have this pair of spacecraft images with similar contrast settings. Which is the comet and which is the asteroid? Only the astronomers who recognize the unique shapes know for sure.

REMAINING TESTS

** The spectrum will of course show some water-related molecules. The distinction to be made is whether the innards of the comet are primarily water, snow, and ice; or whether they are primarily carbonaceous or silicaceous rock. Chondrite meteorites, for example, which are clearly solid rocks, are 20% interstitial water by volume. Our previous experience with the spectra of comet innards, the Comet Shoemaker-Levy-9 impacts on Jupiter, showed surprisingly little water.

** A gravity-dominated comet (favored by the standard model) would have a soft, porous composition and make a rather large crater, 50-100 meters. A strength-dominated comet (EPH + Satellite Model) would show a small crater at the impact site, 10-20 meters. The diameter of the blackened area would represent ejecta, and not be relevant. (The ejecta will almost certainly be dark relative to the surface because the probe chose the brightest spot on the accessible surface to impact on.)

** The standard model expected a new jet to appear at the impact site. The EPH/SM says there are no jets, just sunward reflections shining like flashlight beams through the comet coma. So no new jet should appear at this impact site because it will likely be darker than its surroundings.

[P.S. Comet Tempel 1 is in the squarer picture, and asteroid Eros is the more elongated object.]

See later findings